逆时美肌饮

逆时美肌饮含丰富的活性成分,帮助肌肤远离伤害。天然蜜桃粉末,伴随着甜蜜愉悦的口感慢慢融化。带上一条,就可随时享用。

人体正常胶原蛋白的形成,需要包括皮肤在内的许多组织都能运作正常。

维生素C作为一种辅酶,有助于皮肤正常功能下的胶原蛋白形成。

辅酶Q10是自然存在于皮肤中,它能保护皮脂脂质氧化,有效对抗衰老的迹象。

透明质酸可以将胶原蛋白和弹性蛋白紧紧地连在一起,有助于保持皮肤水润。然而25岁之后,身体制造透明质酸的能力开始下降,皮肤渐渐松弛失去弹性,皱纹增加,在40-50岁之间尤为明显。

叶黄素是天然存在于皮肤中,起着抗氧化剂和蓝光过滤器的作用,这种天然成分能增加皮肤表面油脂(皮肤屏障),同时增强了皮肤的光活性,是强力的皮肤细胞保护器。

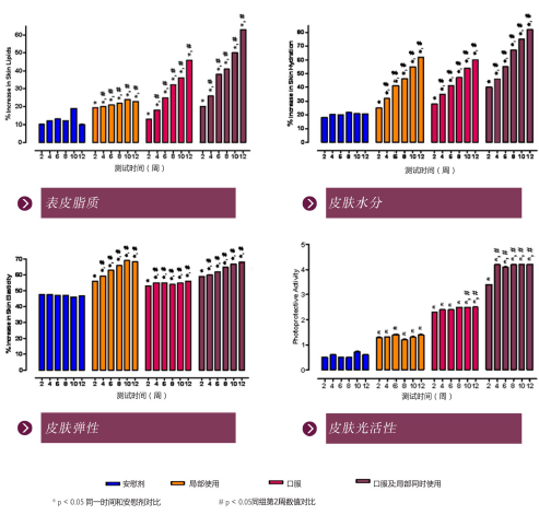
叶黄素对皮肤的功效--临床结果

2007年,通过随机,双盲,安慰剂对照,多中心研究,证明叶黄素对皮肤的功效。40位从25岁到50岁的女士参与。所有皮肤类型的代表(油性,干性,中性,混合性)。这研究持续了十二周,每天10mg叶黄素(口服/局部)。 临床结果如下:

*广州市桉谷生物科技有限公司拥有对以上讯息的最终解释权*